REINFORCE algorithm implementation

개요

REINFORCE 알고리즘을 PyTorch 코드로 구현해보았으며 Colab에서 코드 실행 및 결과 확인이 가능합니다.

설명

REINFORCE 알고리즘은 기본적으로 policy를 따라 움직여 얻어낸 trajectory를 바탕으로 policy의 성능을 나타내는 objective function을 최대화하는 방향으로 직접 policy에 gradient를 먹이는 구조입니다. 
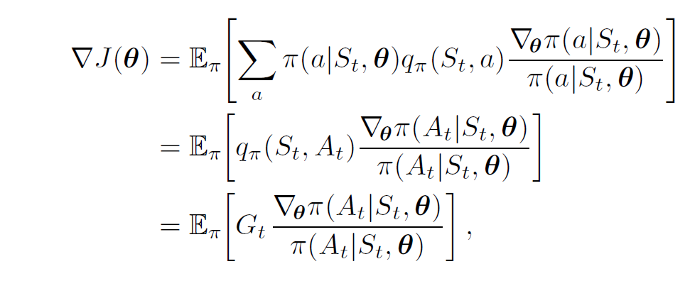
위의 pseudocode는 아래의 코드로 표현됩니다.

    def update_weights(self):
        self.optimizer.zero_grad()
        G_t = 0
        for gradient_policy_a_s, r in self.trajectory[::-1]: #cumulative future rewards들의 합 계산을 위해 [::-1]
            G_t = 0.99 * G_t + r
            loss = -1 * G_t * gradient_policy_a_s # -1 for gradient ascent
            loss.backward()
        self.optimizer.step()
        self.trajectory.clear()
        return

policy를 사용하여 self-play해서 얻어낸 trajectory를 거꾸로 순회하면서 각 time step에 필요한 G_t를 계산해가면서 loss를 구성하고 policy network의 weights들을 업데이트하는 구조입니다. 

아래는 매 에피소드마다 CartPole 게임을 self_play하면서 결과로 얻어낸 게임 점수를 나타낸 그래프입니다. 학습이 진행될수록 성능이 올라가는 경향을 보입니다.



코랩 코드 아래쪽에서 최종 학습된 agent로 게임을 실행해본 결과를 재생해 볼 수 있습니다.

Full Code

import gym
import torch
import torch.nn as nn
from torch.distributions import Categorical
import matplotlib.pyplot as plt
!pip install gym[classic_control]
#pip install gym[box2d] #for lunarlander
!apt update
!apt install xvfb
!pip install pyvirtualdisplay
!pip install gym-notebook-wrapper
import gnwrapper
!nvidia-smi
print(torch.cuda.is_available())

class Agent(nn.Module):
    def __init__(selfinput_dimoutput_dimwidth):
        super().__init__()
        self.model = PolicyNetwork(input_dim, output_dim, width)
        self.model.to(device)
        self.model.train()
        self.optimizer = torch.optim.Adam(self.model.parameters(), lr=0.0003)
        self.trajectory = []
        self.env = gym.make("CartPole-v1")        

    def forward(selfx):
        x = self.model(x)
        return x

    def self_play(selfmax_timestep=1000000):
        game_score = 0
        state = self.env.reset() # env 시작
        for _ in range(max_timestep):
            output = self.forward(torch.from_numpy(state).float().to(device)) # inference
            prob_distribution = Categorical(output) # 확률분포 표현
            action = prob_distribution.sample() # 확률분포로부터 action 선택
            state, r, done, _ = self.env.step(action.item()) # env 진행            
            self.trajectory.append((prob_distribution.log_prob(action), r)) # a,r 저장 
            game_score += r 
            if done:
                break
        return game_score

    def update_weights(self):
        self.optimizer.zero_grad()
        G_t = 0
        for gradient_policy_a_s, r in self.trajectory[::-1]: #cumulative future rewards들의 합 계산을 위해 [::-1]
            G_t = 0.99 * G_t + r
            loss = -1 * G_t * gradient_policy_a_s # -1 for gradient ascent
            loss.backward()
        self.optimizer.step()
        self.trajectory.clear()
        return

class PolicyNetwork(nn.Module):  
    def __init__(selfinput_dimoutput_dimwidth):
        super().__init__()
        self.layer1 = torch.nn.Linear(input_dim, width)
        self.layer2 = torch.nn.Linear(width, width) 
        self.layer3 = torch.nn.Linear(width, output_dim) 

    def forward(selfx):
        x = self.layer1(x)
        x = torch.nn.functional.relu(x)
        x = self.layer2(x)
        x = torch.nn.functional.relu(x)
        x = self.layer3(x)
        x = torch.nn.functional.softmax(x, dim=0)
        return x

device = torch.device('cuda:0'if torch.cuda.is_available() else torch.device('cpu')
score_arr = []
env = gym.make("CartPole-v1"
agent = Agent(env.observation_space.shape[0], env.action_space.n, 128
print(agent)
env.close()

#Self play 및 weight update
episode_nums = 500
for i in range(episode_nums):
    game_score = agent.self_play() # play길이 제한 필요시 (max_timestep=값)
    score_arr.append(game_score)    
    agent.update_weights()       
    if i%50==0 : print('episode', i)   
torch.save(agent.state_dict(), 'weights.pt'
agent.env.close()

#Episode별 얻은 score
plt.plot(score_arr, label ='score')
plt.legend(loc='upper left')

#학습된 모델로 게임 play한 영상
agent.load_state_dict(torch.load("weights.pt"))
env = gnwrapper.LoopAnimation(gym.make('CartPole-v1'))
state = env.reset()
for _ in range(200):
    with torch.no_grad():
        output = agent.forward(torch.from_numpy(state).float().to(device)) # inference
        prob_distribution = Categorical(output) #확률분포 표현
        action = prob_distribution.sample() #확률분포로부터 action 선택
    env.render()
    state, rew, done, _ = env.step(action.item())
    if done:
        state = env.reset()
env.display()


댓글

가장 많이 본 글

구글 람다(LaMDA)란? - 구글의 언어 모델

알파고 강화학습 원리

버텍스 AI란? - 구글 인공지능 플랫폼

카타고와 바둑 두어보기

뉴럴 네트워크란?

블로그 글 목록

강화학습 기초공부 - chap 8 : Model-based, planning, MCTS